La Asociación de Profesional de la Salud bonaerense (Cicop) difundió un comunicado con las escalas salariales del sector tras el acuerdo alcanzado la semana pasada con la administración de Axel Kicillof. La propuesta de un incremento del 44,5% promedio al mes de septiembre fue aceptada "en disconformidad" por los sindicalistas.
El aumento se dará en tres tramos: arribará a un 17,4% en marzo, a un 28,8% en julio y finalmente al 44,5%. El acuerdo contempla una cláusula de revisión y monitoreo en caso de que la inflación supere lo previsto, y la reapertura de las negociaciones para el último trimestre del año.
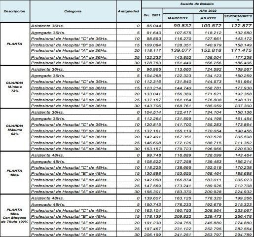
"El 44,5% de aumento a septiembre consta de un incremento del sueldo básico en un 40% más un incremento de la bonificación remunerativa ‘creciente’ del 57,50% y de la bonificación remunerativa ‘decreciente’ en un 18,50%", remarcaron desde Cicop.
Y agregaron que "el acuerdo alcanza a residentes" y que "continuarán el reclamo por reconocimiento de los aportes previsionales y la eliminación total del presentismo en la Ley 10.471".
Con el incremento, detalló el gremio, el salario ingresante de 36 horas planta pasa de $85.044 a $99.832 en marzo, $109.572 en julio y $122.877 en septiembre; mientras que el salario ingresante de 36 horas en la Guardia en día hábil aumenta (en los mismos meses) de $96.965 a $113.660, $124.592 y $139.567; y el de 48 horas con Bloqueo Ingresante sube de $139.607 a $163.125, $178.320 y $199.266.
Por otra parte, el salario Profesional B Planta se incrementa de $119.084 a $128.35, $140.979 y $158.149; el salario de un Profesional B Guardia en día hábil pasa de $123.214 a $144.740, $158.781 y $177.930; y el de un Profesional B 48 horas con Bloqueo de $178.139 a $209.822, $229.473 y $256.478.

"La propuesta fue aprobada en disconformidad por las necesidades de recomposición salarial que aún persisten en nuestro sector, por la falta de respuesta al problema previsional y a otros reclamos históricos que llevamos adelante las y los profesionales de la salud del gremio Cicop", explicó Pablo Maciel, titular del gremio.